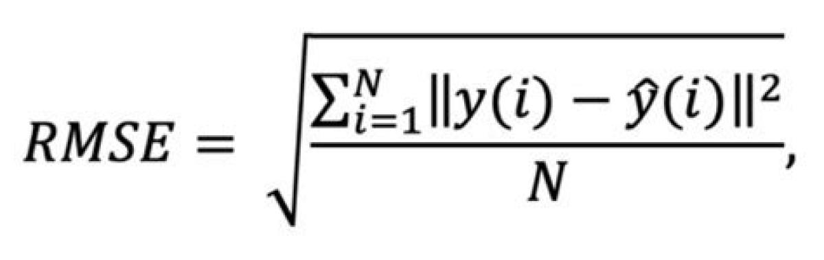
خطای جذر میانگین مربعات یا انحراف جذر میانگین مربعات یا خطای جذر میانگین مربع‌ها (RMSD) یا (RMSE) تفاوت میان مقدار پیش‌بینی شده توسط مدل یا برآوردگر آماری و مقدار واقعی می‌باشد. RMSD یک ابزار خوبی است برای مقایسه خطاهای پیش‌بینی توسط یک مجموعه داده‌است و برای مقایسه چند مجموعه داده کاربرد ندارد.

همچنین این تفاوت‌های مجزا را مانده ها می‌نامند و خطای جذر میانگین مربعات برای جمع‌آوری آنها در یک عدد کاربر دارد.