مخفف SD
Standard Deviation
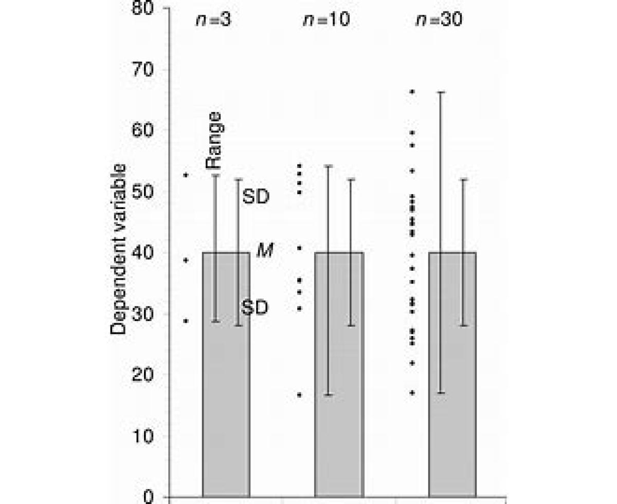
SD در احتمال و آمار، انحراف معیار نوعی سنجش پراکندگی برای یک توزیع احتمال یا متغیر تصادفی بوده، و نمایندهٔ پخششدگی مقادیر آن حول مقدار میانگین است. انحراف معیار را معمولاً با σ (حرف کوچک سیگما) نشان میدهند. انحراف معیار برابر با ریشهٔ دوم واریانس تعریف میشود.